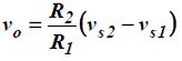
Task
Calculate the formula of the output voltage for next scheme, named difference amplifier or op-amp subtractor

Check the formula of the output voltage:

Calculate the formula of the output voltage for next scheme, named difference amplifier or op-amp subtractor

Check the formula of the output voltage:

Licensed under the Creative Commons Attribution Share Alike License 4.0