Technical parameters
The technical characteristics of the radar ensure that the necessary values of the parameters are obtained tactics for the radar to fulfill its role; thus, they depend on the destination of the radar system.
The technical parameters are specific to each radar subsystem and will be presented in the chapters of the next for each subsystem.
The most important technical parameters of a radar are: emission power, frequency of the thing, the duration of the impulse and the frequency of rehearsal of the impulses.
The repetition frequency of the Fr pulses, represents the number of pulses emitted by the radar In the unit of time. The inverse of the repetition frequency is called the repetition period of the the pulses Tr, and represent the duration between two successive synchronizing pulses. It is observed that the repetition frequency is a parameter of the synchronizer.
As we will see later in this chapter, the frequency of repetition is dependent on the maximum radar discovery distance and the number of pulses to be received from a target. The value of the repetition period must be greater than the corresponding duration the maximum desired distance of the radar, otherwise a number of problems arise in determining distance of targets:

The duration of the survey pulses influences a number of other parameters of the radar, the most important being the ability to separate in distance and the minimum distance of discovery.In order to ensure the best possible distance resolution, but also a minimum distance as small as possible, radar systems use short survey pulses, of the order of microseconds and microsecond tenths.
A special case is that of radars with internal impulse modulation (frequency or phase). They use longer-lasting impulses, and ensuring a good
Separation capabilities are made by using the technique of pulse compression.
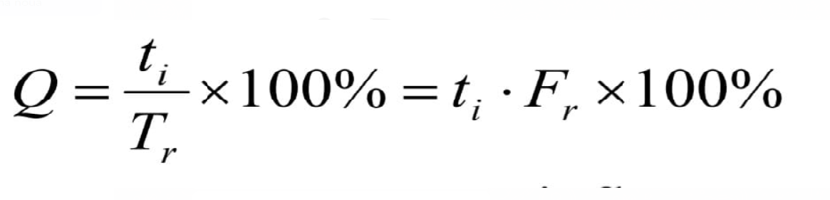
Another technical parameter is the coefficient or filling factor. It equals
the ratio between the pulse duration and the repetition period and characterizes the actual emission time of the total operating time. It is usually expressed as a percentage:
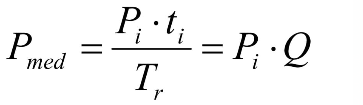
Emission power is a parameter with a major influence on the maximum distance of discovery. In the case of impulse radars we encounter two types of power: the power in impulse (peak) and the average power. As we have seen, the radar emits only for the duration of the survey pulses, the rest of the time the power emitted being zero. Between the two powers there is the following formula:

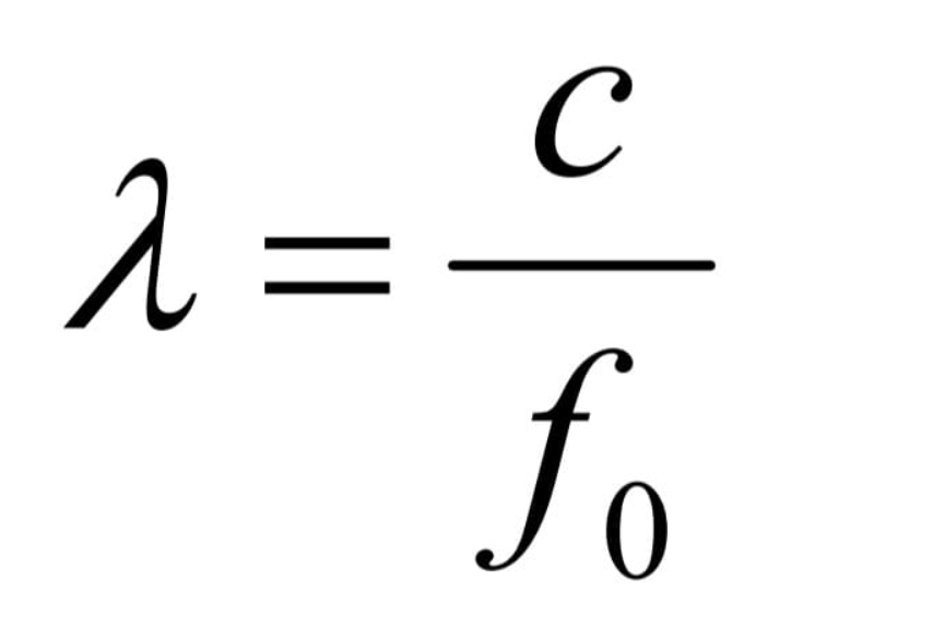
The average power determines the level of power consumed by the transmitter from the power supply. The working frequency fo represents the carrier frequency of the survey pulses. The wavelength λ can be calculated using the formula:

The working frequency value of the radar is chosen according to a number of other parameters,
of it, such as the accuracy of the determination of coordinates, the dimensions of the antenna system, the distance of discovery, etc.
In order to be possible to reflect the survey signals from the targets, it is necessary that the wavelength is less than or comparable to the dimensions of the targets.Because of this, the working frequencies used by the radars are in the range of metric waves to the millimetres.Another reason for the use of very high frequencies by radars is the dimensions of the antennas.
The width of the directivity feature is directly proportional to the wavelength and inversely proportional to the dimensions of the antenna. To obtain a narrow feature, a wavelength should be chosen as small as possible for a reasonable size of the antenna. For example, in the case of antennas with parabolic reflector, between the width of the Θl directivity characteristic, the wavelength λ and the size of the reflector L there is the following formula:

Another factor that determines the use of very high working frequencies is the
short duration of the survey pulses. In order to obtain sufficient emission power, it is necessary that in each impulse there is a sufficient number of oscillations, of the order of hundreds. Also of particular importance in choosing the wavelength are the conditions of propagation of electromagnetic waves through the atmosphere, mainly atmospheric absorption.
The attenuation introduced by the atmosphere increases strongly with increasing frequency. For this reason, radars working with frequencies above 40 GHz are only used over relatively short distances.
The range of working frequencies or the frequency band is the band in which they are contained
all frequencies on which the radar can operate. For good protection against various disruptive signals, intentional or not, radars have a relatively wide frequency range, in the order of hundreds of Mhz.